离心风机
产品描述:4-72离心风机是一种高效节能的离心式风机,其机翼型叶片、曲线型叶轮前盘和锥弧型进口集流器等结构,使风机具有效率高、噪声低、体积小、可靠性强、在特殊情况下风量大小可配用调节阀门进行控制。
离心风机
特点:4-72离心风机是一种高效节能的离心式风机,其机翼型叶片、曲线型叶轮前盘和锥弧型进口集流器等结构,使风机具有效率高、噪声低、体积小、可靠性强、在特殊情况下风量大小可配用调节阀门进行控制。(可生产防爆式B4-72型防爆离心通风机、防腐式F4-72型防腐离心通风机)
用途:4-72离心风机适合于各类民用建筑的送风、排风和一般通风换气。F4-72型防腐离心通风机适合在化工厂、实验室、地下室、浴池等场合安装使用,输送带腐蚀性气体、韩酸性气体和高湿度气体。B4-72型防爆离心通风机是防爆专用风机,适合在燃油燃气锅炉房,高浓度粉尘车间、油库、储气站、易燃易爆物品存放仓库等有防爆要求的场合安装使用,可输送具有易燃、易爆和易挥发性质的气体。
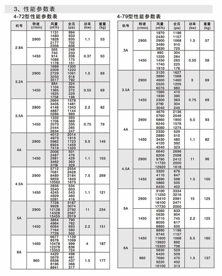
规格:
风机直径:Φ250~2000mm,
风量:2200~200000m3/h,
风压:300~2500Pa










